Topics: Economy, Jobs, Moore's Law, Semiconductor Technology, STEM
I’ve written about this before, but now living this pendulum swing and what is the pending aftermath of the industry, I thought I’d give some perspective to what is occurring that most consumers aren’t aware of.
Dimensional perspective: The average human hair is 100,000 nanometers in diameter, or 100,000 x 10E-9 meters (0.0001 meters if you were wondering). Your average smart phone device has a gate controlling the flow of electrons that is printed at around 35 – 20 nanometers (0.000000035 - 0.000000020 meters), so it’s ridiculously small in comparison. Note that shorthand metric notation saves a lot of typing.
Process Engineering your chip: It involves Epitaxial Growth, Chemical Vapor Deposition and Plasma Vapor Deposition to deposit the layer films needed to pattern; extreme ultraviolet photolithography to mask out patterns in the films, which runs into struggles with standing wave phenomena and quantum effects; reactive ion etch to transfer those incredibly small features into layers of built-from-the-ground-up circuitry (some wet chemical etch as well, mostly to clean or clear surfaces of defects, but some etching too); ion implantation that dopes (introduces impurities) into Silicon or Germanium to make a semiconductor conductive; chemical mechanical planarization for topology and Rapid Thermal Anneal processes to activate certain films. That’s done pretty much over and over for greater than 100 infinitesimally thin film layers to put a chip in a plastic dip that ends up in your laptop or hip pocket. That is how we fill the demand of the market for faster processors to share the ubiquitous cat, dancing turtle and cut puppy videos.
Without a background in physics or chemistry, and a little simple math I can show you why we’ve hit this wall and where we’re likely to go next.
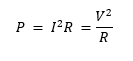
From the formula above for resistance, "resistivity" is an intrinsic property related to the material that's conducting electrons, so it doesn't change (unless you dope it to). Notice length in the numerator; cross sectional area is in the denominator. The length of a longer wire has more resistance to conducting electricity than a shorter one. As these devices undergo shrinks following Moore's Law, length and area will decrease, but specifically a decrease in cross sectional area will increase resistance.
Another formula:
It's very simple to note an increase in resistance - due to the shrinks typified by Moore's Law - will result in an increase in power and thereby: heat. This has numerous and quite dramatic examples recent news reports provide. Heat has to be dissipated with a "heat sink" (Thermodynamics), that usually entails a fan to cool your chip that has to be attached to your device's battery. It's not your imagination that your battery life is less after months or years of usage as Lithium degrades over time - using the same battery to power your device and its heat sink to cool it is why. Plus, consumers are both more savvy and satisfied: how fast does one need to share a cat video? To coin a phrase, "if it ain't broke, don't fix it!" or for that matter, replace it with the exploding variety. We're now at the natural limitations of Moore's Law. The game going forward will likely be memory and battery improvements, which should have transferable benefits in computing, electric vehicles and power storage; newer industries and employment.
That being said: This link from Semi Wiki on "Age, Training and Winning in the Silicon Valley Culture" is so apropos, I think it should be shouted from rooftops. If we're going to create a new economy, we need to be willing to do some things we've done traditionally - like education - differently and lifelong.
The Internet of Things (IoT) and what I like to call "smart car tech" (so-called driver-less cars, which has an existing analog already: public transportation if a national infrastructure were implemented) is a reflection of that as the device gates are typically larger (65-130 nm) than what's needed for cute pet videos and Snap Chat updates.
I think cell or mobile phones are ubiquitous enough that they're as much a fixture of modern life as the transistor radio and walk-man (G-d, I just dated myself!) used to be.
The industry is going "Back to the Future" so to speak on what it will manufacture until something beyond Silicon, Germanium and a wholly different application is discovered.
Tomorrow: Free Money
Related links:
http://news.utexas.edu/2015/04/15/hot-chips-managing-moores-law
http://www.nature.com/news/the-chips-are-down-for-moore-s-law-1.19338
http://www.slate.com/articles/technology/technology/2005/12/the_end_of_moores_law.html
http://www.trustedreviews.com/opinions/what-is-moore-s-law
http://techland.time.com/2012/05/01/the-collapse-of-moores-law-physicist-says-its-already-happening/
https://www.wired.com/insights/2015/01/the-rise-of-diamond-technology/
http://www.allaboutcircuits.com/textbook/direct-current/chpt-2/calculating-electric-power/
http://www.sengpielaudio.com/calculator-ohm.htm

Comments